Funciones
Mat. Aplicadas C. Sociales I - Funciones
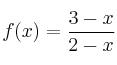
Halla los puntos de corte con los ejes de las siguientes funciones:
–
–
– ![]()
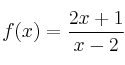
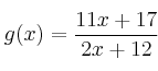
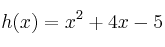
Dadas las funciones
;
, se pide para ambas funciones:
– a) Hallar su dominio
– b) Puntos de corte con los ejes de coordenadas
– c) Representación gráfica
Dibuja la gráfica de las siguientes expresiones algebraicas (reflejando todos los cálculos necesarios antes de dibujarlas).
– a)
– b)
– c) 
Esboza la gráfica de la función que se ajusta a las siguientes condiciones:
– el dominio es
– la imagen es todo
– corta a los ejes en los puntos
y
– alcanza un máximo en el punto
y otro en
– alcanza un mínimo en
– tiene una asíntota vertical en
– cuando
, ![]()
Sea la función
– a) Representa gráficamente la función
– b) Calcula asíntotas, dominio, corte con los ejes y monotonía
Sea la función:

– a) Representación gráfica
– b) Indica Dominio, Corte con los ejes, Asíntotas, Monotonía y Extremos
Sea la función 
– a) Calcula sus asíntotas
– b) Estudia su monotonía
– c) Represéntala gráficamente
Sea la función 
– a) Representa gráficamente la función
– b) Calcula asíntotas, dominio, corte con los ejes y monotonía
El valor, en miles de euros, de las existencias de una empresa en función del tiempo t, en años, viene dado por la función:
![]()
– a) ¿Cuál será el valor de las existencias para
? ¿Y para
?
– b) ¿Cuál es el valor máximo de las existencias? ¿En qué instante se alcanza?
– c) ¿En qué instante el valor de las existencias es de 185000 euros?
El beneficio obtenido por la producción y venta de x kilogramos de un artículo viene dado por la función:
![]()
– a) Representa gráficamente esta función.
– b) Determina el número de kilogramos que hay que producir y vender para que el beneficio sea máximo.
– c) Determina cuántos kilogramos se deben producir y vender, como máximo, para que la empresa no tenga pérdidas.