• Apuntes
  • Vídeos
  • Ejercicios
    • Resueltos
    • Por Curso
      • 1º ESO
      • 2º ESO
      • 3º ESO
      • 4º ESO
      • 1º BACH. CIENCIAS
      • 1º BACH. SOCIALES
      • 2º BACH. CIENCIAS
      • 2º BACH. SOCIALES
  • Más recursos
    • Actividades Interactivas
    • Selectividad (PAU)
    • Acceso Mayores 25
    • LaTeX
Inicio ›EJERCICIOS de Matemáticas ›2º BACH. CIENCIAS ›Geometría en el Espacio ›2645 - Vectores - Geometría en el Espacio

2645 - Vectores - Geometría en el Espacio

Ejercicios_Resueltosgeometría3Dvectores_3D

Dados los vectores \vec{x}(1,-5,2) , \vec{y}(3,4,-1) . \vec{z}(6,3,-5) , \vec{w}(24,-26,-6) , calcula a, b, c de forma que se cumpla: a\vec{x}+b\vec{y}+c\vec{z}=\vec{w}

SOLUCIÓN

a\vec{x}+b\vec{y}+c\vec{z}=\vec{w}
a \cdot (1,-5,2) + b \cdot (3,4,-1) + c \cdot (6,3,-5) = (24,-26,-6)
 (a,-5a,2a) +  (3b,4b,-b) + (6c,3c,-5c) = (24,-26,-6)
 (a +3b + 6c, -5a+4b+3c, 2a-b-5c) = (24,-26,-6)

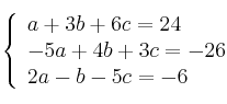
\left\{ \begin{array}{lcc}
             a +3b + 6c = 24\\
              -5a+4b+3c=-26 \\
             2a-b-5c = -6
             \end{array}
   \right.
Resolvemos el sistema y obtenemos como soluciones:
\fbox{a=6} , \fbox{b=-2} , \fbox{c=4}

Comentar el ejercicio

  • 2º BACH. CIENCIAS
    • Funciones, Derivadas e Integrales
    • Geometría en el Espacio
    • Matrices, Determinantes y Sistemas
    • SELECTIVIDAD - EvAU
  • Mapa del sitio
  • Conectarse
  • 2001-2026 — Matemáticas IES — Contactar con Dani