Funciones (I)

Funciones (I) - 1º Bachillerato de Ciencias

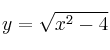
Halla el dominio de la función
y = \sqrt{x^2-4}

Halla el dominio de la función
y = \sqrt{3-x}

Halla el dominio de la función
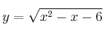
y = \sqrt{x^2-x-6}

Halla los valores de a y b para que la siguiente función sea continua:

 
f(x)= \left\{ \begin{array}{lcc}
              x^2+2x-1 &   si  & x < 0 \\
              ax+b &  si & 0 \leq x < 1 \\
              2  & si & x \geq 1
              \end{array}
    \right.


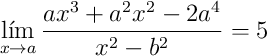
Calcula los valores reales de a y b para que se cumpla la siguiente igualdad:

\lim_{x \to a} \frac{ax^3+a^2x^2-2a^4}{x^2-b^2}=5

Dada la función f(x)= \left\{ \begin{array}{lcc}
              x^2+1 &   si  & x < 0 \\
              \\ x+1 &  si &  x \geq 0
              \end{array}
    \right.
Calcula los siguientes límites:

 \lim\limits_{x \rightarrow -2} f(x)
 \lim\limits_{x \rightarrow 3} f(x)
 \lim\limits_{x \rightarrow 0} f(x)

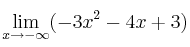
Calcula \lim\limits_{x \rightarrow +\infty} f(x) en los siguientes casos:

 f(x) = 3x^2+4
 f(x) = -x^2+3x+5
 f(x) = x -3x^4
 f(x) = \frac{1}{3x}
 f(x) = - \frac{1}{x^2}
 f(x) = \frac{x^3+1}{-5}

Calcula los siguientes límites y esboza las ramas en el infinito

 \lim\limits_{x \rightarrow +\infty} \frac{3}{(x-1)^2}
 \lim\limits_{x \rightarrow -\infty} \frac{3}{(x-1)^2}

Estudia monotonía y extremos en la función f(x)=-x^3+4x