Ángulo entre dos vectores
Halla el ángulo que forman los vectores
y
SOLUCIÓN
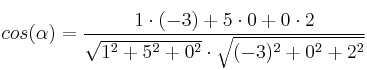
Usamos la fórmula que determina el ángulo de dos vectores en el espacio
Si llamamos
al ángulo que forman ambos vectores, tendremos:




En realidad, hay dos ángulos que tienen por coseno
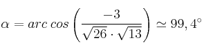
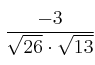
:
+99.4 y -99.4 (260.6). Deberíamos tomar el menor de ellos , por lo que ![]()
Mensajes
4 de marzo de 2015, 19:18, por sork
No estoy de acuerdo, los vectores tienen dirección y sentido, por lo que no puedes tomar el complementario como dices en el ejercicio.
Lo que si que sucede es que al determinarlo a partir del coseno, tienes una indeterminación pudiendo ser el ángulo tanto +99.4º como -99.4º, o lo que es lo mismo, +260.6º, pero en ningún caso el valor que indicas de 80.6º
Un saludo.
5 de marzo de 2015, 22:30, por dani
Tienes razón sork.
Ya está corregida la errata.
Gracias por el aporte
4 de abril de 2020, 18:06, por Ricardo
Necesito la demostración que el coseno del ángulo entre dos vectores es el producto escalar de estos, dividido por el producto de sus módulos.
4 de abril de 2020, 19:05, por dani
De la definición de producto escalar se despeja el coseno y ya está (no necesita demostración)