Discutir sistema con parámetro 4530
Dado el siguiente sistema de ecuaciones:

a) Discute el sistema en función de los valores del parámetro ![]()
b) Resuelve el sistema para ![]()
SOLUCIÓN
En primer lugar expresamos la matriz de los coeficientes (A) y la matriz ampliada (A*)

Para discutir el sistema tenemos que calcular los rangos de ambas matrices (en función del parámetro) y aplicar el Teorema de Rouché.
La mejor estrategia suele ser calcular el determinante de A (por la regla de Sarrus u otro procedimiento) y ver para qué valores del parámetro es cero.

; ![]()
Por tanto, las opciones excluyentes que tenemos que consiferar son:
–
y
–
– ![]()
Caso ![]()
(1) Si
y ![]()
(2)
porque A* incluye a A y porque no puede ser mayor que 3 al tener 3 filas
(3) número de incógnitas = 3
![]()
Caso ![]()
Si ![]()
Comprobemos si el rg(A) vale 2, para ello expresamos las matrices sustituyendo "a" por "2"

Calculamos ahora el rango de A*

![]()
Caso ![]()
Si ![]()
Comprobemos si el rg(A) vale 2, para ello expresamos las matrices sustituyendo "a" por "1"

Calculamos ahora el rango de A*
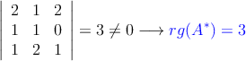
Como las dos últimas filas son iguales, no hace falta hacer cálculos para saber que ![]()
![]()
b) Resolvemos el sistema para el caso
, que hemos comprobado que es Compatible Indeterminado.
El rango de A lo habíamos obtenido con los números marcados de azul

Podemos eliminar la fila 3ª que queda fuera de lo azul y pasamos a la derecha la 3ª columna que también queda fuera de lo azul
![]()
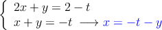
Hacemos
y resolvemos el sistema de 2 ecuaciones con 2 incógnitas
![]()
![]()
![]()
![]()
![]()
![]()
Por tanto las soluciones son:
