Ecuación del plano 4199
Dados los puntos
,
y
y el plano 
Se pide:
a) Comprueba si los puntos A, B y C pertenecen al plano.
b) Halla la ecuación general del plano.
SOLUCIÓN
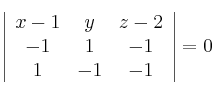
b) Hallamos la ecuación general del plano

Resolviendo el determinante y simplificando obtenemos:

a) Para comprobar si un punto pertenece al plano, basta con comprobar que cumple la ecuación del plano
![]()
![]()
![]()
![]()
![]()
![]()