Ecuaciones y posiciones relativas de rectas 4198
Considera la recta r que pasa por el punto
y lleva la dirección del vector ![]()
Se pide:
a) Halla su ecuación paramétrica.
b) Halla su ecuación continua.
c) Halla su ecuación implícita.
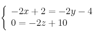
d) Estudia la posición relativa de la recta r respecto a la s:

SOLUCIÓN
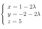
Ecuaciones paramétricas

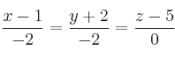
Ecuación continua

En este caso se dice que la recta no tiene ecuación continua (no se puede dividir por cero)
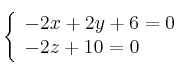
Ecuaciones implícitas





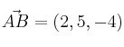
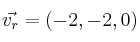
Para estudiar la posición relativa de dos rectas en el espacio Ver Teoría necesitamos un vector director de cada recta y un tercer vector formado por un punto de cada recta
![]()
![]()
![]()
![]()

Analizamos el rango de la matriz formada por los tres vectores

las rectas se cruzan