Ejercicio 2649. Puntos Alineados
Halla los valores de
y
para que los siguientes puntos estén alineados:
,
, ![]()
SOLUCIÓN
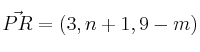
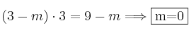
,
y
alineados
Por la primera coordenada
, entonces:

Halla los valores de
y
para que los siguientes puntos estén alineados:
,
, ![]()
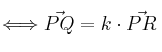
,
y
alineados
Por la primera coordenada
, entonces:
