Ejercicio 2652 - Cuarto vértice de un paralelogramo
Los puntos
,
y
son los vértices consecutivos de un paralelogramo. Halla el cuarto vértice y el centro del paralelogramo
SOLUCIÓN
Si miramos el siguiente esquema:
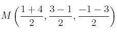
– Para hallar el centro del paralelogramo, basta con calcular el punto medio del segmento AC
Sean
las coordenadas del punto medio
Por tanto

– Para hallar el vértice D podemos seguir varios métodos
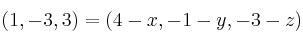
1)
(se pueden plantear otras igualdades de vectores parecidas)
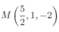
Supongamos que el punto
tiene de coordenadas
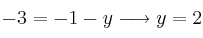
Igualando coordenada a coordenada:
Por tanto 
2) Otro método es plantear la siguiente igualdad: 