Ejercicio rectas y planos en el espacio
Dados los puntos
y
, escriba las ecuaciones paramétricas, continua e implícitas de la recta que pasa por los puntos
y ![]()
SOLUCIÓN
Como punto tomamos
y como vector 
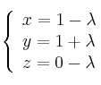
Ecuaciones paramétricas

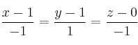
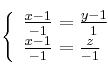
Ecuación continua

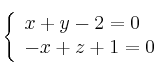
Ecuaciones implícitas

