La Pirámide de Keops
La Gran Pirámide de Guiza (también conocida como Pirámide de Keops o de Jufu) es la más antigua de las siete maravillas del mundo y la única que aún perdura, además de ser la mayor de las pirámides de Egipto. Ayúdanos a conocer un poco más de la Gran Pirámide, siguiendo los siguientes pasos:
1) La base de la pirámide está formada por los cuatro puntos de los cuales tres puntos son
,
y
. Forma los vectores
y
, comprueba que son linealmente independientes y calcula el área del paralelogramo que forman haciendo uso del producto vectorial. Sabiendo que la longitud es
y por tanto la superficie es
¿Cuántos metros cuadrados de superficie tiene la Gran Pirámide?
2) Si la vertical del centro de la pirámide sigue esta ecuación:
![]()
Y el lado de la puerta (donde está el
) es la recta de ecuación:
![]()
¿Cuántos metros hay de la puerta al centro de la pirámide, O? Demuéstralo con la distancia entre dos rectas (1=23 m)
3) Sabiendo que la cúspide (D) está en el
calcular las ecuaciones vectoriales y paramétricas de las dos rectas
y
que forma los lados (
y
)
4) Halla el plano que contiene a la puerta
y es un lado de la pirámide. Halla el plano que es vertical y contiene a la puerta y al centro O. Interseca ambos planos obteniendo la ecuación de la recta
. Comprueba que es la misma recta que pasa por la puerta y la cúspide D.
SOLUCIÓN
![]()
![]()
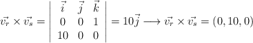
Lso vectores
y
son linealmente independiente puesto que no son proporcionales.


![]()
En esacala sería: ![]()
2) Debemos calcular la distancia entre rectas que se cruzan
Usaremos el tercer método descrito en el enlace anterior. Para ello necesitamos el vector director de cada recta y un punto de cada recta.
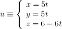
La recta
es una recta vertical por el origen de coordenadas, es decir, coincide con el eje
. Sus puntos son de la forma
,
, etc. Por tanto es fácil obtener puntos y vectores de dicha recta.
![]()
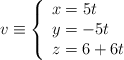
La recta
pasa por los puntos
y
. Como vector director podemos tomar el vector
y como punto por ejemplo el punto ![]()
![]()
Los datos que necesitamos para calcular la distancia entre ambas rectas (según método 3) son:
![]()
![]()
![]()
Ahora aplicamos la fórmula:
![d(r,s) = \frac{\left| [\vec{v_r},\vec{v_s},\vec{P_rP_s}] \right|}{\left| \vec{v_r} \times \vec{v_s} \right|} d(r,s) = \frac{\left| [\vec{v_r},\vec{v_s},\vec{P_rP_s}] \right|}{\left| \vec{v_r} \times \vec{v_s} \right|}](local/cache-TeX/2b927f3fbc307fd3bdfc4c1bafa89b7e.png)
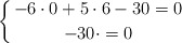
![[\vec{v_r},\vec{v_s},\vec{P_rP_s}]=\left| \begin{array}{ccc} 0 & 0 & 1 \\10 & 0 & 0 \\-5 & -5 & 0 \end{array} \right|=-50 [\vec{v_r},\vec{v_s},\vec{P_rP_s}]=\left| \begin{array}{ccc} 0 & 0 & 1 \\10 & 0 & 0 \\-5 & -5 & 0 \end{array} \right|=-50](local/cache-TeX/12907f77ebcdaca2c2cdd38a652a4104.png)

![]()
![]()
3) ![]()
![]()
![]()
![]()

![]()

4) El primer plano que nos piden es el plano de la cara
. Usaremos los vectores
y
y como punto ![]()

que podemos simplificar:
![]()
El segundo plano que nos piden pasa por los puntos
,
y
.
Usaremos como punto
y como vectores
y ![]()

![]()
La intersección de ambos planos es la recta ![]()
Podemos comprobar que los puntos
y
pertenecen a dicha recta (deben verificar ambas ecuaciones de la recta)
![]()
![]()