Límites por L’Hôpital

Ejercicios_ResueltosfuncioneslímitesRegla de LHôpital

Calcula los siguientes límites aplicando la regla de L’Hôpital tantas veces como te haga falta:

a) \lim _{ x\rightarrow 0 }{ \frac { cosx-1 }{ { x }^{ 2 } }  }

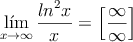
b) \lim _{ x\rightarrow \infty}\frac { { ln }^{ 2 }x }{ x }

c) \lim _{ x\rightarrow 0 }{ \frac { { sen }^{ 2 }x }{ { e }^{ x }-x-1}}

d) \lim _{ x\rightarrow -\infty  }{ \frac { x }{ { e }^{ -x}}}

SOLUCIÓN

a) \lim _{ x\rightarrow 0 }{ \frac { cosx-1 }{ { x }^{ 2 } }  }

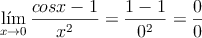
\lim _{ x\rightarrow 0 }{ \frac { cosx-1 }{ { x }^{ 2 } }  } =\frac{1-1}{0^2}=\frac{0}{0}
Aplicamos L’Hôpital
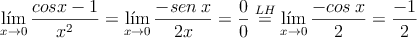
\lim _{ x\rightarrow 0 }{ \frac { cosx-1 }{ { x }^{ 2 } }  } =\lim _{ x\rightarrow 0} \frac{-sen \:x}{2x}=\frac{0}{0} \stackrel{LH}{=}\lim _{ x\rightarrow 0}\frac{-cos \: x}{2}=\frac{-1}{2}

b)\lim _{ x\rightarrow \infty}\frac { { ln }^{ 2 }x }{ x } =  \left[ \frac{\infty}{\infty} \right] Aplicamos L’Hôpital

\lim _{ x\rightarrow \infty}\frac {2 \cdot ln(x) \cdot \frac{1}{x}}{ 1 } =\lim _{ x\rightarrow \infty} \frac{2 \cdot ln(x)}{x} =\left[ \frac{\infty}{\infty} \right]

Volvemos a aplicar L’Hôpital

\lim _{ x\rightarrow \infty} \frac{2 \cdot \frac{1}{x}}{1}=\lim _{ x\rightarrow \infty} \frac{2}{x} = \frac{2}{\infty} = 0

c) \lim _{ x\rightarrow 0 }{ \frac { { sen }^{ 2 }x }{ { e }^{ x }-x-1 }  }=\frac{0^2}{e^0-0-1}= \left[ \frac{0}{0} \right] Aplicamos L’Hôpital

\lim _{ x\rightarrow 0} \frac{2 \cdot sen(x) \cdot cos(x)}{e^x-1}=\frac{2 \cdot 0 \cdot 1}{e^0 - 1}= \left[ \frac{0}{0} \right]

Aplicamos nuevamente L’Hôpital

\lim _{ x\rightarrow 0}\frac{2 \cdot[cos(x) \cdot cos(x)+ sen(x) \cdot (-sen(x))]}{e^x}=\lim _{ x\rightarrow 0}\frac{2 \cdot[cos^2(x)-sen^2(x)]}{e^x}=\frac{2 \cdot (1^2-0^2)}{e^0}=2

d) \lim _{ x\rightarrow -\infty  }{ \frac { x }{ { e }^{ -x } }  } = \frac{-\infty}{e^{\infty}} = \frac{-\infty}{\infty}

INDETERMNADO. Aplicamos L’Hôpital

\lim _{ x\rightarrow -\infty} \frac{1}{e^{-x} \cdot (-1)}=\frac{1}{e^{\infty} \cdot (-1)}=\frac{1}{-\infty}=0

Comentar el ejercicio