Matrices, Determinantes y Sistemas
Matrices, Determinantes y Sistemas - 2º Bach. Ciencias
Calcula todas las matrices
tales que
, tienen determinante 1 y cumplen
, siendo 
Dadas las matrices
,
,
, considera el sistema de ecuaciones lineales dado por
, donde
,
denotan las traspuestas. Discútelo según los distintos valores de m
Se consideran las matrices

,
donde
es un número real.
– a) Encontrar los valores de
para los que la matriz
tiene inversa
– b) Dados
y
números reales cualesquiera, ¿puede ser el sistema
compatible determinado con
la matriz del enunciado?.
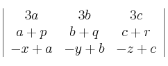
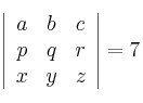
Teniendo en cuenta que
,
calcular el valor del siguiente determinante sin desarrollarlo

La liga de fútbol de un cierto país la juegan 21 equipos a doble vuelta. Este año, los partidos
ganados valían 3 puntos, los empatados 1 punto y los perdidos 0 puntos. En estas condiciones, el equipo campeón de liga obtuvo 70 puntos. Hasta el año pasado los partidos ganados valían 2 puntos y el resto igual. Con el sistema antiguo, el actual campeón hubiera obtenido 50 puntos. ¿Cuantos partidos gano, empató y perdió el equipo campeón?
Dado el siguiente sistema:
– a) Escribe la matriz de los coeficientes, la matriz ampliada, la de las incógnitas y la de los términos independientes. Expresa el sistema en forma matricial
– b) Resuelve el sistema por el método que desees (Cramer o Gauss). A la vista de las soluciones, ¿de qué tipo es el sistema?
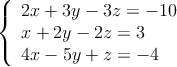
Resuelve por la regla de Cramer el siguiente sistema de ecuaciones

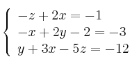
Resuelve por el método de Gauss el siguiente sistema de ecuaciones

Usa la regla de Cramer para resolver el siguiente sistema de ecuaciones

Discute el siguiente sistema en función de los valores del parámetro
