📝 Ejercicios de PIZARRA
-
Resuelve la ecuación matricial
, siendo



-
Resuelve la ecuación:

-
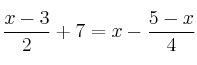
Resuelve la ecuación:

-
Resuelve la ecuación:

-
Resuelve la ecuación:

-
Resuelve la ecuación:

-
Resuelve la ecuación:

-
Resuelve la ecuación:

-
Sean las matrices
– Resuelve la ecuación matricial
– Calcule
-
Calcula y simplifica el resultado (cuando se pueda)
– a)
– b)
-
Representa gráficamente la función

-
Laura quiere comprar un coche que cuesta 18.000 euros, y en vez de pagarlo al contado decide realizar una entrada y el resto financiarlo al 3 % anual durante 5 años, suponiendo que la cantidad que pagó al mes durante ese tiempo fue de 179,69 euros. Halla el importe de la entrada que pagó para la compra del vehículo.
-
Sea la matriz

Hallar las matrices B que conmuten con A; es decir:
-
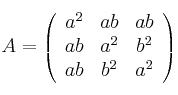
Sea la matriz

– a) Sin utilizar la regla de Sarrus, calcular el determinante de dicha matriz
– b) Estudiar el rango de A en caso de que
-
Desde dos almacenes A y B, se tiene que distribuir fruta a tres mercados de la ciudad. El almacén A dispone de 10 toneladas de fruta diarias y el B de 15 toneladas, que se reparten en su totalidad. Los dos primeros mercados necesitan, diariamente, 8 toneladas de fruta, mientras que el tercero necesita 9 toneladas diarias.
El coste del transporte desde cada almacén a cada mercado viene dado por el siguiente cuadro:
Planificar el transporte para que el coste sea mínimo. -
Calcula y simplifica:

-
Representa en la recta real los intervalos:
![a) [1, 3] \qquad b) (-\infty, -2) a) [1, 3] \qquad b) (-\infty, -2)](local/cache-TeX/9d449233cb1ee34bbc17c2e325950ebe.png)
-
Representa gráficamente las siguientes funciones:
– a)
– b)
– c)
– d)
– e)
– f)
-
Representa gráficamente la función

-
De las matrices:
,
,
y

determina cuáles tienen inversa y en los casos en que exista, calcula el determinante de dichas inversas.