Perpendicular común a rectas que se cruzan
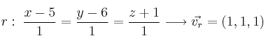
Considere las siguientes rectas:
y

a) Estudie la posición relativa de ambas rectas.
b) En caso de que las rectas se corten, calcule el plano que las contiene y el ángulo que forman ambas rectas. En caso de que las rectas se crucen, calcule la perpendicular común a ambas rectas.
SOLUCIÓN
– a) Estudiaremos la posición relativa mediante el método de los vectores
Obtenemos un vector director de cada recta


Ahora necesitamos un tercer vector formado por un punto de cada recta
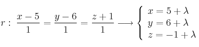
– De la recta
– De la recta ![]()
Entonces 
Con los tres vectores formamos una matriz y analizamos su rango

se cruzan
– b) Para encontrar la perpendicular común a ambas rectas usaremos el método descrito en el siguiente vídeo
![]()
![]()
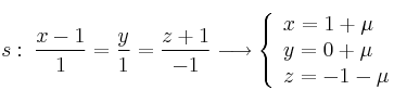
Ahora necesitamos un punto genérico de cada recta. Para ello necesitamos las ecuaciones paramétricas:

Punto genérico de ![]()

Punto genérico de ![]()


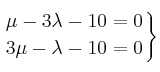
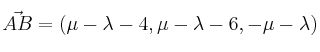
El vector
tiene que ser perpendicular a los vectores directores de ambas rectas:


Por tanto:
![]()
![]()
Simplificando obtenemos estas dos ecuaciones:

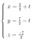
Resolvemos el sistema y obtenemos como soluciones:

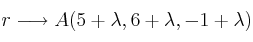
Entonces el vector será:



El punto A es entonces:
![]()

Con vector y punto ya podemos definir la ecuación de la perpendicular común

Otra forma de hacerlo
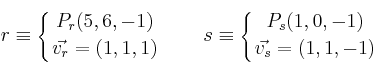
De las ecuaciones de las rectas r y s podemos obtener punto y vector de cada recta

El vector
nos servirá como vector director de la recta (p) perpendicular común (recordemos que el vector producto vectorial de dos vectores es perpendicular a cada uno de esos dos vectores).
Si lo calculamos obtenemos ![]()
También podemos usar un vector proporcional ![]()
Hallamos la perpendicular común como intersección de dos planos:
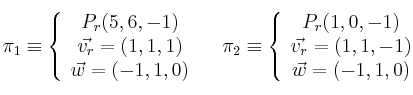
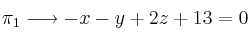
– plano 1
: contiene a r y es paralelo a
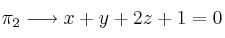
– plano 2
: contiene a s y es paralelo a ![]()

Ahora podemos obtener la ecuación general de cada plano mediante determinantes y obtendremos:
![]()
![]()
Por tanto, la ecuación de la perpendicular común (en ecuaciones implícitas) es:
