Problema de optimización
Queremos fabricar una caja sin tapa con base cuadrada y con un área de
. Si queremos que el volumen sea máximo, ¿cuáles serían sus dimensiones?
SOLUCIÓN
– En primer lugar hacemos el dibujo y asignamos incógnitas a los datos desconocidos.
– Escribimos la función a optimizar (maximizar o minimizar): en nuestro caso es el volumen, que debemos maximizar
Volumen
– La función a maximizar (el volumen) debe tener una sola variable. Como en nuestro caso tiene 2 variables ( x, y), debemos buscar alguna relación entra ambas para conseguir que haya una sola variable.
– La relación (entre x e y) que buscamos, suele venir en los datos del problema.
– El problema dice que el área vale 300 (la suma de el suelo y las 4 paredes).
La expresión anterior relaciona
e
. Ahora debemos despejar una de ellas en función de la otra (y después sustituir su valor en la función a maximizar).
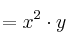
– Expresamos el volumen como ![]()

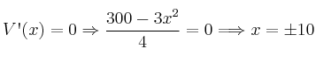
– Una vez que tenemos la función a maximizar con una sola variable, solo nos queda buscarle los extremos (máximo en este caso).

A las 2 soluciones
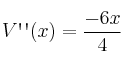
, candidatos a extremos, le aplicamos la segunda derivada para comprobar si alguno de ellas es máximo.
MAX en ![]()
Por tanto, las dimensiones son
e
La caja debe tener
de base y
de altura