Problema resuelto con sistema de 3 ecuaciones
La gerencia de una sociedad de inversiones tiene un fondo 200.000 USD para invertir en acciones. A fin de alcanzar un nivel aceptable de riesgo, las acciones consideradas se han clasificado en tres categorías: de alto, mediano y bajo riesgo. La gerencia estima que las acciones de alto riesgo tendrán una tasa de rendimiento del 15% anual; las de riesgo medio, 10% anual, y las de bajo riesgo, 6% anual. La inversión en las acciones de bajo riesgo será el doble de la suma invertida en las otras dos categorías. El objetivo de la inversión es tener una tasa promedia de rendimiento del 9% anual sobre la inversión total. ¿Cuánto se debe invertir en cada tipo de acción?
SOLUCIÓN
Asignamos incógnitas a los datos que nos piden:
Cantidad invertida en acciones Alto riesgo ![]()
Cantidad invertida en acciones Medio riesgo ![]()
Cantidad invertida en acciones Bajo riesgo ![]()
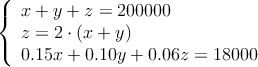
Ahora expresamos en forma de ecuaciones los datos del enunciado:
Total invertido: 200 000
![]()
La inversión en las acciones de bajo riesgo será el doble de la suma invertida en las otras dos categorías
![]()
Beneficios obtenidos:
Alto riesgo (15%) ![]()
Medio riesgo (10%) ![]()
Bajo riesgo (6%) ![]()
TOTAL (9%) ![]()
![]()
Tenemos un sistema de 3 ecuaciones con 3 incógnitas

Debemos elegir algún método para resolverlo: Por sustitución, por Gauss, por Cramer, etc.
Lo voy a resolver por la Regla de Cramer. Para ello hay que ordenar el sistema y poner las matriz ampliada






Debemos invertir $ 66666.66 en acciones de Alto Riesgo y $ 133333.33 en acciones de Bajo Riesgo (no invertimos nada en las de mediano riesgo)