Rango de matriz en función de parámetro
Calcula el rango de la siguiente matriz en función de los valores del parámetro ![]()

SOLUCIÓN
Podemos empezar calculando el determinante

![]()

; ![]()
Si
y ![]()
Si ![]()
Si ![]()
Calcula el rango de la siguiente matriz en función de los valores del parámetro ![]()

Podemos empezar calculando el determinante

![]()

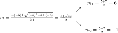
; ![]()
Si
y ![]()
Si ![]()
Si ![]()