Recta por un punto paralela a un plano y cortando a otra recta
Dado el punto
, el plano
y la recta ![]()
a) Halla la ecuación del plano que pasa por P y contiene a r
b) Halla la ecuación de la recta que pasa por P, es paralela a
y corta a r
SOLUCIÓN
Todos los ejercicios de geometría 3D se puede hacer de muchas maneras.
Casi siempre es recomendable hacer el dibujo de la situación.
a) Nos piden un plano que contenga a una recta y pase por un punto
De la recta r podemos obtener un punto A y un vector director ![]()
Si consideramos el vector
ya tendríamos un punto y dos vectores directores (lo cual determinaría el plano que nos piden)
Una vez definida la estrategia a seguir, procedemos a desarrollarla:
![]()
El punto es
El vector es
El vector ![]()
Con un punto y dos vectores construimos la ecuación del plano
Como no pide una ecuación determinada, podemos poner cualquier ecuación, por ejemplo las ecuaciones paramétricas:

b) Halla la ecuación de la recta que pasa por P, es paralela a \pi y corta a r
Ponemos primero los datos:
![]()
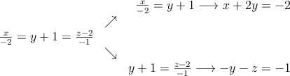
Antes de hacer el dibujo voy a comprobar la posición de la recta
y el plano ![]()
Recuerda la teoría: Posición relativa de recta y plano

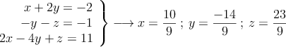
Resolvemos el sistema formado por las dos ecuaciones de la recta y la ecuación del plano

La recta y el plano se cortan en el punto A(2,-2,3).
Ahora ya puedo hacer el dibujo
Me piden la recta (en verde) s que pasa por P, es paralela al plano y corta a la recta r
La solución pasaría pro crear un plano paralelo a
por el punto P
Después hallamos el punto Q (intersección del nuevo plano con la recta r).
Con los puntos P y Q obtenemos la ecuación de la recta s que me piden
1) Plano paralelo a
por el punto ![]()
Todos los planos paralelos a
son de la forma:
![]()
Si pasa por
entonces:
![]()
Por tanto el plano es ![]()
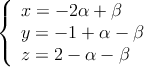
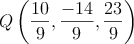
Hallamos Q haciendo la intersección del plano con la recta r

Resolvemos el sistema formado por las dos ecuaciones de la recta y la ecuación del plano

La recta y el plano se cortan en el punto ![]()
Ahora el problema se reduce a encontrar la ecuación de la recta que pasa por los puntos
y ![]()
Como punto tomamos P y como vector director
![]()
o un vector proporcional como ![]()
La ecuación de la recta que nos piden es:
![]()