Rectas tangente y normal a una curva
Sea
la función definida por ![]()
– a) Halla la ecuación de la recta normal a la gráfica de
en el punto de abcisa
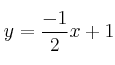
– b) Determina el punto de la gráfica en el que la recta tangente es perpendicular a la recta ![]()
SOLUCIÓN
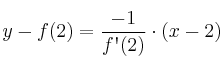
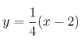
– a) La recta normal (perpendicular) a
en
tiene por ecuación

Por tanto la recta pedida es:

– b) La recta
se puede expresar como
, por tanto su pendiente es
Dos rectas son perpendiculares cuando el producto de sus pendientes es
Si la pendiente de la recta pedida es
, tenemos que
de donde ![]()
(1) Sabemos que la pendiente de la recta tangente vale
(2) Sabemos que la pendiente de la recta tangente es la derivada.
De (1) y (2) deducimos que
Por tanto, el punto que nos piden es el punto de abcisa
. La segunda coordenada del punto sería
, por consiguiente el punto es ![]()