Selectividad Andalucía 2001-1-B1
andalucíaárea_entre_curvasEjercicios_Resueltosfuncionesfunciones a trozosgráficaintegralesMatemáticasII_Andalucía_2001selectividad
Sea la función
definida por:

– (a) Esboza la gráfica de
– (b) Calcula el área de la región limitada por la gráfica de
, el eje de abcisas y la recta ![]()
SOLUCIÓN
– (a) Dibujamos la función a trozos: un trozo es una recta (que llega hasta -1) y el otro trozo es una parábola (desde -1 en adelante).
Para dibujar la recta nos bastan un par de puntos (uno de ellos debe ser el -1)
Para dibujar la parábola podemos calcular vértice, corte con los ejes, y las imágenes de algunos puntos (como -1 y 3).
En definitiva nos quedaría la siguiente imagen
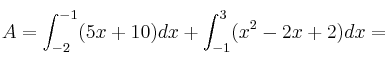
– (b) Para calcular el área que nos piden debemos hacer una suma de dos integrales: de diferentes colores en la siguiente imagen:
El área total sería:

![A = \left. \frac{5x^2}{2}+10x \right]_{-2}^{-1} + \left. \frac{x^3}{3} - x^2 + 2x \right]_{-1}^{3} =\frac{71}{6} u^2 A = \left. \frac{5x^2}{2}+10x \right]_{-2}^{-1} + \left. \frac{x^3}{3} - x^2 + 2x \right]_{-1}^{3} =\frac{71}{6} u^2](local/cache-TeX/8cec8383a2b81b623612dc8ec5023561.png)