Selectividad Andalucía 2001-1-B4
andalucíaEjercicios_Resueltosgeometría3DMatemáticasII_Andalucía_2001rectas en el espacioselectividad
Considera los puntos:
,
,
y ![]()
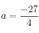
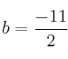
Halla
y
sabiendo que la recta que pasa por
y
corta perpendicularmente a la recta que pasa por
y ![]()
SOLUCIÓN
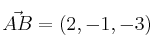
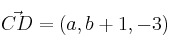
Si la recta que pasa por A y B corta perpendicularmente a la que pasa por C y D, entonces los vectores
y
son perpendiculares
![]()
Necesitamos una segunda ecuación. Usaremos el dato de la posición relativa de dos rectas en el espacio (que en nuestro caso deben ser secantes).
Los vectores que necesitamos son:
,
y
.
Para que las rectas no e crucen, el determinante de la matriz formada por los 3 vectores debe ser cero.
De esta relación obtenemos la segunda ecuación: ![]()
Resolviendo el sistema de dos ecuaciones, obtenemos:
; 