Selectividad Andalucía 2001-3-A1
Calcula 
SOLUCIÓN
Aplicamos la Regla de L’Hôpital
Vuelve a dar
. Volvemos a aplicar L’Hôpital y queda:

Volvemos a sustituir
por 0 y esta vez ya obtenemos un resultado: 
Por tanto: 
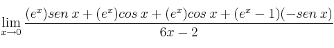
Calcula 
Aplicamos la Regla de L’Hôpital
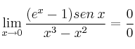
Vuelve a dar
. Volvemos a aplicar L’Hôpital y queda:

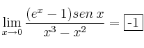
Volvemos a sustituir
por 0 y esta vez ya obtenemos un resultado: 
Por tanto: 