Selectividad Andalucía 2001-3-B3
andalucíadiscutir_sistemaEjercicios_ResueltosMatemáticasII_Andalucía_2001selectividadsistema_con_parámetros
Considera el sistema

– a) Discútelo según los valores de
– b) ¿Cuál es, según los valores de
, la posición relativa de los planos cuyas ecuaciones respectivas son las tres que forman el sistema?
SOLUCIÓN
– a)
Expresamos la matriz de los coeficiente y la matriz ampliada:

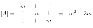
Calculamos determinante de A

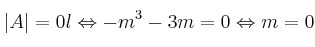
Veamos en qué casos valdrá cero.
![]()
– Si
Como
y el número de incógnitas es también 3, el sistema será Compatible Determinado (T. Rouche).
– Si
veamos lo que ocurre:
Sustituimos m por 0 y calculamos los rangos de A y A*



Al ser los rangos distintos, el sistema es Icompatible