Selectividad Andalucía 2002-4-B3
Determina la matriz
que verifica la ecuación
siendo
y ![]()

SOLUCIÓN
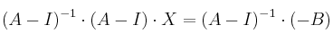
Resolveremos la ecuación matricial usando este método, para el que es necesario saber calcular la inversa de una matriz.
![]()
Calculamos la inversa usando la fórmula y obtenemos:
Ya sólo queda multiplicarla por la matriz (-B)
