Selectividad Andalucía 2005-5-B4
Se sabe que las rectas:

y

están contenidas en un mismo plano
– (a) Calcula
– (b) Halla la ecuación del plano que contiene a las rectas
y ![]()
SOLUCIÓN
a) Dos rectas están en el mismo plano cuando sean coincidentes, paralelas o secantes (es decir cuando no se cruzan). Si vemos la teoría de la posición relativa de 2 rectas en el plano Ver Vídeo, debemos crear una matriz
formada por 3 vectores: un vector director de cada recta y un tercer vector formado por un punto de cada recta.
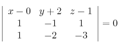
Como no se pueden cruzar, tiene que se rango(M)<3, es decir |M|=0
Por tanto, el procedimiento es calcular el determinante de la matriz
e igualarlo a cero, y de ahí obtendremos el valor de
Un vector director de
sería
y un punto
De la recta
, que viene en ecuación general o implícitas, obtenemos dos puntos y a partir de ellos un vector director. ¿Cómo obtener puntos de una recta en ec. general
Para
se obtiene
,
Punto:
Para
se obtiene
,
Punto:
De ambos puntos obtenemos un vector
, pero podemos tomar uno proporcional para evitar fracciones (multiplicando por 3):
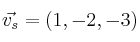
Ya podemos crear la matriz
:
(vector director de r)
(vector director de s)
(vector con un punto de cada recta)

– b) El rango de M es 2 por lo que las rectas son secantes.
Para hallar la ecuación del plano que las contiene usamos un vector director de cada recta y un punto cualquiera de una de las rectas.
