Selectividad Andalucía 2006 - 3 A2
andalucíaEjercicios_Resueltosintegralesintegrales por sustituciónMatemáticasII_Andalucía_2006selectividad
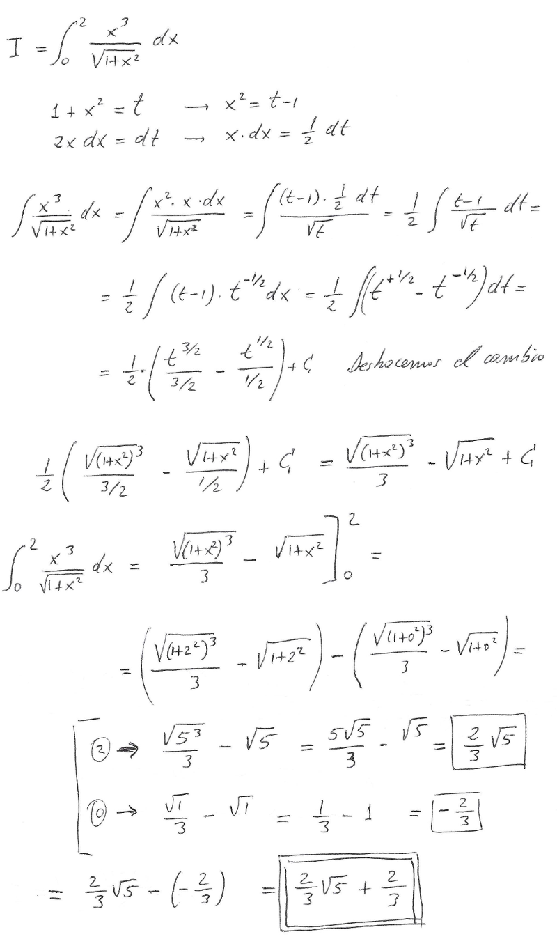
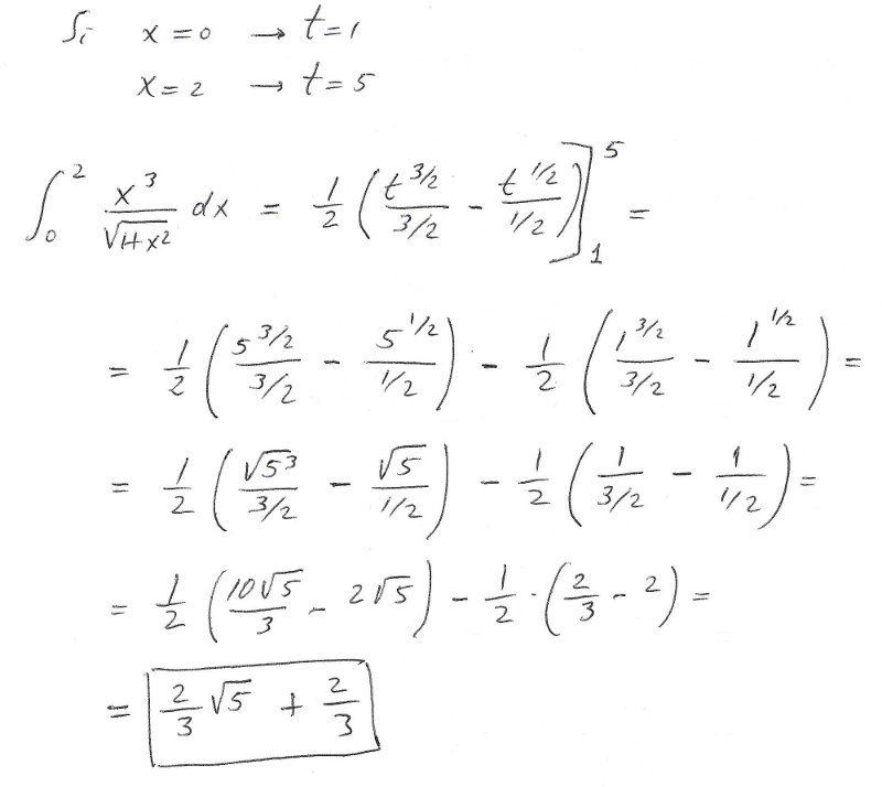
Sea 
– a) Expresa
aplicando el cambio de variable
– b) Calcula el valor de ![]()
SOLUCIÓN
Podemos resolver el ejercicio de dos formas:
1) Deshaciendo el cambio de variable y dejando los mismos límites de integración
2) La segunda forma consiste en no deshacer el cambio de variable, pero entonces necesitamos cambiar los límites de integración

