Selectividad Andalucía 2009 - 3 - B1
andalucíaasíntotascontinuidadEjercicios_Resueltosextremosfuncionesfunciones a trozosgráficaMatemáticasII_Andalucía_2009selectividad
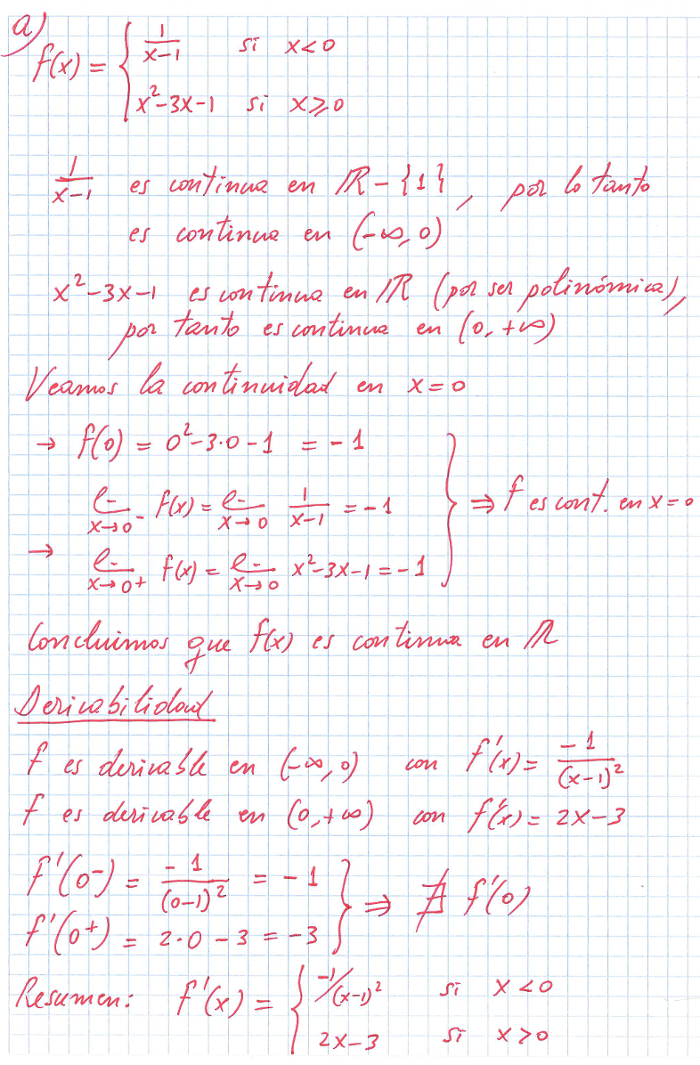
Sea
la función definida por

– a) Estudia la continuidad y dervabilidad
– b) Determina sus asíntotas y sus extremos relativos
– c) Esboza la gráfica de f
