Selectividad Andalucía 2012-1-A3
Considera las matrices
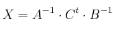
Determina, si existe, la matriz
que verifica
, siendo
la matriz traspuesta de ![]()
SOLUCIÓN
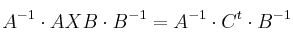
En primer lugar resolvemos la ecuación matricial
![]()
Calculamos
,
y
y hacemos el producto

Mensajes
3 de enero de 2013, 22:47, por matematicona
por qué la inversa de la matriz b es esa?
3 de enero de 2013, 23:14, por dani
Para no hacer el ejercicio muy largo, he puesto el resultado de los cálculos de las matrices inversas.
Puedes aprender a calcular la inversa siguiendo estos apuntes: http://matematicasies.com/-5-Matriz...
12 de mayo de 2013, 00:31, por Nemi
Pero la matriz inversa de b tendria que ser cambiada de signo puesto que el determinante de b es -1, al multiplicarla por la matriz cambian de signo, no? Esque me sale el mismo resultado pero cambiado de signo.
Un saludo!
12 de mayo de 2013, 00:54, por dani
Ya se ha cambiado de signo. La inversa de B es correcta, puedes comprobar que al multiplicar B por su inversa se obtiene la identidad.
4 de febrero de 2016, 18:55, por David Alessandro
Deberias comprobarlo de nuevo puesto que |B| debe ser -1
17 de junio de 2013, 17:42, por Dima
En la inversa de A, después de hacer la adjunta me sale que el 4 de la fila 1 columna 3 es -4
20 de junio de 2013, 10:36, por dani
He comprobado la inversa de A usando un programa (maxima) y el resultado es correcto.
10 de mayo de 2016, 19:07, por Manuel Mena
si tenemos en cuenta que la multiplicación de matrices no es conmutativa...
como sabes si
x=C(T)* A(-1) * B(-1)
x=C(T) *B(-1) *A(-1)
x=A(-1) *C(T)* B(-1)
22 de octubre de 2017, 23:35, por Jesús
No se puede multiplicar la inversa de A (A-1) con la traspuesta de C (Ct) ya que A-1 es de dimensión 3x3 y Ct es 2x3, y para poder multiplicar dos matrices es necesario que el número de columnas de la primera matriz coincida con el número de filas de la segunda...
18 de enero de 2018, 20:55, por catherine Gonzalez
EL EJERCICIO ESTA INCORRECTO DEBE DAR
3 1
– 1 0
1 1
4 de abril de 2018, 10:36, por dani
El resultado es correcto.