Selectividad Andalucía 2013-2-A3
andalucíaecuacion_matricialEjercicios_ResueltosMatemáticasII_Andalucía_2013matricesmatriz inversaselectividad
Considera las matrices
y

– (a) Halla, si es posible,
y
– (b) Halla el determinante de
siendo
la matriz traspuesta de
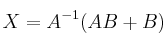
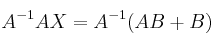
– (c) Calcula la matriz
que satisface ![]()
SOLUCIÓN
– a) 
La matriz
no tiene inversa porque ![]()
– b)
![]()
– c)
![]()
Haciendo las operaciones queda:

Mensajes
10 de mayo de 2016, 18:24, por Manuel Mena
Una pregunta. La respuesta de el último ejercicio no daría
– 3 2 (5/2)
3 -2 (1/2)
0 0 (-1/2)
17 de octubre de 2016, 19:48, por Pablo
No, está bien en la página web.
16 de enero de 2018, 19:46, por catherine Gonzalez
el primer ejercicio de A inversa es incorrecto
deberia ser
1 0 - 1/2
1 1 -1/2
0 0 1/2
12 de mayo de 2018, 04:12, por Sonia
Tienes que cambiar los signos al ajustarla
23 de mayo de 2018, 20:35, por Jesucristo
Se te ha olvidado poner los menos