Selectividad Murcia junio 2015 B3

continuidadderivada de una funciónEjercicios_Resueltosfunciones

Considere la función 
f(x) = \left\{
\begin{array}{ccc}
x^2+ax-3 & si & x  \leq 1 \\
Ln(x^2)+b & si & x > 1
\end{array}
\right.
Determine los valores de los parámetros a y b para los cuales la función f(x) es continua y derivable en todo R.

SOLUCIÓN

Veamos primero la continuidad

x^2+ax-3 es continua en R, por tanto, también lo es en su dominio (-\infty,1) independientemente de lo que valga a

Ln(x^2)+b es continua en R-\{0\}, por tanto, es continua en (1, +\infty) independientemente de lo que valga b

Observe que x^2 es siempre positivo, por lo que no hay posibilidad de tener un logaritmo negativo.

Veamos la continuidad en x=1

f(1)=1^2 + a \cdot 1 - 3 = \textcolor{red}{a-2}

\lim_{x \rightarrow 1^-} f(x) = 1^2 + a \cdot 1 - 3 = \textcolor{red}{a-2}

\lim_{x \rightarrow 1^+} f(x) = Ln(1^2) + b = 0+b=\textcolor{red}{b}

Para que sea continua en x=1, los tres resultados anteriores deben ser iguales, por lo que tenemos la ecuación: \textcolor{blue}{a-2=b}

Veamos ahora la derivabilidad

Ambos trozos son funciones derivables con derivada:

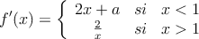
f^{\prime}(x) = \left\{
\begin{array}{ccc}
2x+a & si & x  < 1 \\
\frac{2}{x} & si & x > 1
\end{array}
\right.

Veamos la derivabilidad en x=1

f^{\prime}(1^-) = 2 \cdot 1 + a = \textcolor{red}{2+a}

f^{\prime}(1^+) = \frac{2}{1} = \textcolor{red}{2}

Para que sea derivable en x=1, ambos resultados deben ser iguales, por tanto
\textcolor{blue}{2+a=2}

De ambas ecuaciones (en azul) obtenemos a=0 y b=-2, que son los valores que hacen que la función sea continua y derivable en todo R

Comentar el ejercicio