UNED A25 - 2012 Junio D 06
La gráfica de la función
en
tiene:
– A) Punto de inflexión
– B) Mínimo
– C) Máximo
SOLUCIÓN
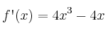
Los extremos (máximos y mínimos) estarán entre los puntos que anulen la primera derivada
Por tanto en
puede haber un máximo o un mínimo. Lo comprobamos con la segunda derivada:

Hay un Mínimo en ![]()