UNED A25 - 2012 Junio N 02
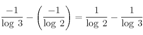
El valor de
es:
– A)
– B)
– C) 
SOLUCIÓN
La integral
se resuelve mediante el cambio de variable
, dando como resultado 
Aplicando los límites de integración, tendremos

El valor de
es:
– A)
– B)
– C) 
La integral
se resuelve mediante el cambio de variable
, dando como resultado 
Aplicando los límites de integración, tendremos
