UNED A25 - 2013 Junio Modelo A Ejercicio 10
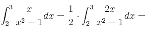
El valor de la integral
es:
SOLUCIÓN
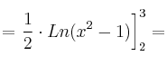
Es una integral inmediata de tipo logaritmo neperiano. El numerador (con un pequeño cambio) es la derivada del denominador.

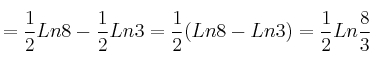
El valor de la integral
es:
Es una integral inmediata de tipo logaritmo neperiano. El numerador (con un pequeño cambio) es la derivada del denominador.
