UNED A25 - 2013 Junio Modelo A Ejercicio 4
¿Tiene alguna solución el siguiente sistema?

SOLUCIÓN
Discutimos el sistema mediante el teorema de Rouché.
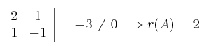
Para ello calculamos el rango de la matriz de los coeficientes(A) y el rango de la matriz ampliada(A*)



Como ambos rangos son distintos, el teorema de Rouché nos dice que el Sistema es incompatible y por tanto no tiene ninguna solución.