UNED A25 - 2013 Junio Modelo A Ejercicio 5
¿Para cuántos valores de
el módulo del vector
es igual a 1?
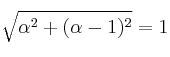
SOLUCIÓN
![]()

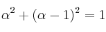
Elevamos ambos miembros al cuadrado
![]()
![]()
![]()
Resolvemos la ecuación de segundo grado y las soluciones son:
¿Para cuántos valores de
el módulo del vector
es igual a 1?
![]()

![]()
![]()
![]()