📝 Ejercicios de polinomios
-
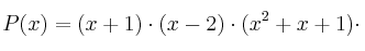
Hallar
,
y
sabiendo que en la división
se obtiene
de cociente y
de resto
-
Hallar un polinomio de
grado que tenga como raíces 1, 2, -1, -2 y como coeficiente principal 3
-
Hallar los valores
y
para que el polinomio
se pueda expresara de la forma 
-
Hallar los valores de
y
para que el polinomio
tenga como raíz doble 
-
Encuentra un polinomio
que verifique la siguiente igualdad:

-
Calcula m y n para que se cumpla:

-
Calcula ’a’ y ’b’ para que el polinomio
sea divisible por
y de un resto de 9 al dividir por 
-
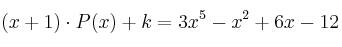
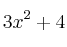
Calcula el valor de ’k’ para que al dividir
por
se obtenga de resto 
-
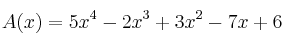
Halla
,
y
para que el polinomio
sea divisible por
,
y de resto 4 al dividirlo por 
-
Encuentra un polinomio
y un número real
que verifiquen:

-
Comprueba si las siguientes fracciones son equivalentes:
y 
-
Si el polinomio
es divisible por
, entonces también es divisible por:– a)
– b)
– c)
– d)
– e)
-
Realiza las siguientes operaciones con monomios:
–
–
–
-
Simplifica e indica el grado del polinomio resultante:
–
–
-
Dados los polinomios:
–
–
–
Calcula:
–
–
–
-
Dados los polinomios:
calcula:
–
–
-
Hallar un polinomio de
grado que sólo tenga dos raíces: 0 y 1
-
Comprueba si las siguientes fracciones son equivalentes:
y 
-
Indica coeficiente, parte literal y grado de los monomios:
;
; 
-
Factoriza los siguientes polinomios:
– a)
– b)