📝 Ejercicios de sistema_no_lineal
-
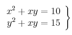
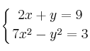
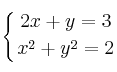
Resuelve el sistema de ecuaciones:

-
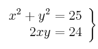
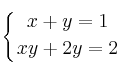
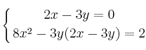
Resuelve el sistema de ecuaciones:

-
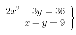
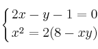
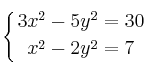
Resuelve el sistema de ecuaciones:

-
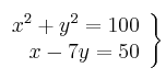
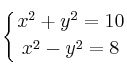
Resuelve el sistema de ecuaciones:

-
Resuelve el sistema de ecuaciones:

-
Resuelve el sistema de ecuaciones:

-
Resuelve el sistema de ecuaciones:

-
Resuelve el sistema de ecuaciones:

-
Resuelve el sistema de ecuaciones:

-
Resuelve el sistema de ecuaciones:

-
Resuelve el sistema de ecuaciones:

-
Resuelve el sistema de ecuaciones:

-
Resuelve el sistema de ecuaciones:

-
Resuelve el sistema de ecuaciones:

- 1
- 2