📝 Ejercicios de integrales
-
Resuelve la integral:
–

-
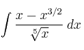
Resuelve la integral:
–
![\int \frac{x-x^{3/2}}{\sqrt[5]{x}} \: dx \int \frac{x-x^{3/2}}{\sqrt[5]{x}} \: dx](local/cache-TeX/a07bd361e14f2f24fefd3eb0d825a996.png)
-
Resuelve la integral:
–

-
Resuelve la integral:
–

-
Resuelve la integral:
–

-
Resuelve la integral:
–

-
Resuelve la integral:
–

-
Resuelve la integral:
–

-
Resuelve la integral:
–

-
Resuelve la integral:
–

-
Resuelve la integral:
–

-
Resuelve la integral:
–

-
Resuelve la integral:
–

-
Resuelve la integral:
–

-
Resuelve la integral:
–

-
Resuelve la integral:
–

-
Resuelve la integral:
–

-
Resuelve las integrales:
–
–
–
-
Resuelve las integrales:
–
–
-
Resuelve las integrales:
–
–