📝 Ejercicios de factorizar_polinomios
-
Factoriza los siguientes polinomios:
–
–
-
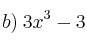
Factoriza los polinomios:
–
–
-
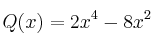
Factoriza el polinomio

-
Factoriza el polinomio

-
Factoriza el polinomio

-
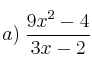
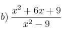
Simplifica las siguientes expresiones factorizando previamente los polinomios del numerador y del denominador:
–
–