Matrices, Determinantes y Sistemas
(245) ejercicios de Matemáticas PAU Andalucía
(66) ejercicios de Matemáticas II — Álgebra (Matrices, Determinantes y Sistemas)
Considera la matriz

– a) Determina para qué valores del parámetro
la matriz
no tiene inversa
– b) Calcula, si es posible, la matriz inversa de
para ![]()
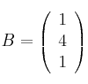
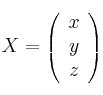
Resuelve el sistema de ecuaciones, dado en forma matricial,
siendo

,

,

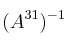
Considera la matriz

– a) Calcula el determinante de las matrices
,
y
– b) Halla la matriz ![]()
Determina la matriz
tal que
, siendo

,
Considera el sistema

– (a) Discútelo según los valores de
– (b) ¿Cuál es, según los valores de
, la posición relativa de los planos cuyas ecuaciones respectivas son las tres que forman el sistema?