📝 Ejercicios de derivada de una función
-
Calcula la derivada de la función:
–
-
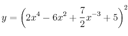
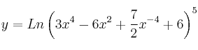
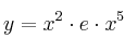
Hallar la derivada de la función

-
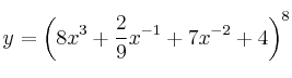
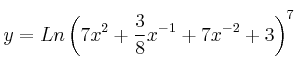
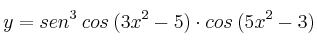
Hallar la derivada de la función

-
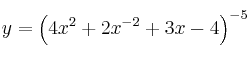
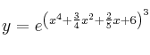
Hallar la derivada de la función

-
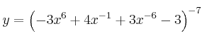
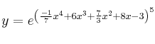
Hallar la derivada de la función

-
Halla la derivada de la función

-
Halla la derivada de la función

-
Halla la derivada de la función

-
Halla la derivada de la función

-
Halla la derivada de la función

-
Halla la derivada de la función

-
Halla la derivada de la función

-
Halla la derivada de la función

-
Halla la derivada de la función

-
Halla la derivada de la función

-
Halla la derivada de la función

-
Halla la derivada de la función

-
Halla la derivada de la función

-
Halla la derivada de la función

-
Halla la derivada de la función
