📝 Ejercicios de operaciones_con_polinomios
-
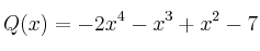
Sean los polinomios:
,
, 
Calcula:
–
–
-
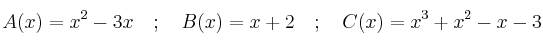
Sean los polinomios:
Calcula:

-
Calcula el cociente y el resto de la siguiente división de polinomios:

-
Calcula el cociente y el resto de las siguientes divisiones de polinomios:
– a)
– b)
-
Dados los polinomios:
calcula:– a)
– b)
– c)
-
Dados los polinomios:
calcula:– a)
– b)
-
Efectúa sin aplicar las identidades notables:
–
–
–
-
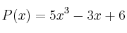
Sean los polinomios:
–
–
Calcula

-
Dados los polinomios:

calcula:a)

b)
-
Sean los polinomios:
–
–
Calcula
