📝 Ejercicios de madrid
-
Calcular

-
Calcular:
donde
es el logaritmo neperiano de
.
-
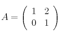
Dada la matriz
, encontrar todas las matrices
tales que 
-
a) Hallar los valores de
y
para que la función
sea continua para todo valor de
b) Estudia la derivabilidad para los anteriores valores de
y 