📝 Ejercicios de integrales
-
Halla el área bajo la gráfica de la función
en el intervalo ![[-2,1] [-2,1]](local/cache-TeX/7019f6fe0e7078b019e0586e7cbc564a.png)
-
Halla el área entre el eje de abcisas y la gráfica de la función
en el intervalo ![[1,4] [1,4]](local/cache-TeX/94fe668c80113341416b96929a8f1024.png)
-
Halla el área bajo la gráfica de la función
en el intervalo ![[1,e] [1,e]](local/cache-TeX/84b8350dcaf54462dc964cf2fca7f6c0.png)
-
Halla el área bajo la gráfica de la función
en el intervalo ![[0,2\pi] [0,2\pi]](local/cache-TeX/1cc5fb6d3b10cf0b4029e23d46fa7fc0.png)
-
Calcular el área de la región sombreada de la figura, siendo la curva

-
Halla el área encerrada entre las funciones
y 
-
Halla el área entre las curvas:
–
–
-
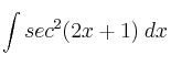
Resuelve la integral:
–

-
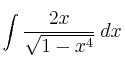
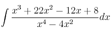
Resuelve la integral:
–

-
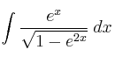
Resuelve la integral:
–

-
Resuelve la integral indefinida

-
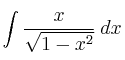
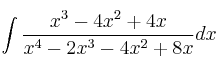
Resuelve la integral:

-
Resuelve la integral:

-
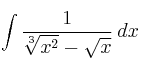
Resuelve la integral:
![\int \frac{1}{\sqrt[3]{x^2} - \sqrt{x}} \: dx \int \frac{1}{\sqrt[3]{x^2} - \sqrt{x}} \: dx](local/cache-TeX/af9f8a13b97ebada18a87dbfb701b875.png)
-
Resuelve la integral:

-
Resuelve la integral:

-
Resuelve la integral:

-
Resuelve la integral:

-
Resuelve la integral:

-
Resuelve la integral:
