📝 Ejercicios de Barrow
-
Halla el área bajo la gráfica de la función
en el intervalo ![[-2,1] [-2,1]](local/cache-TeX/7019f6fe0e7078b019e0586e7cbc564a.png)
-
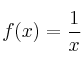
Halla el área entre el eje de abcisas y la gráfica de la función
en el intervalo ![[1,4] [1,4]](local/cache-TeX/94fe668c80113341416b96929a8f1024.png)
-
Halla el área bajo la gráfica de la función
en el intervalo ![[1,e] [1,e]](local/cache-TeX/84b8350dcaf54462dc964cf2fca7f6c0.png)
-
Halla el área bajo la gráfica de la función
en el intervalo ![[0,2\pi] [0,2\pi]](local/cache-TeX/1cc5fb6d3b10cf0b4029e23d46fa7fc0.png)
-
Halla el área entre las curvas:
–
–
-
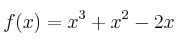
Halla el área que delimita la gráfica de la función
con el eje de abscisas entre las rectas
y 
-
Calcule la integral definida

-
Calcule la integral definida

-
Calcule la integral definida

-
Calcule la integral definida:

-
Calcula las integrales de las siguientes funciones entre
y
aplicando la regla de Barrow:–
–
–
–
–