📝 Ejercicios de imagen
-
Hallar el dominio y rango de la siguiente función

-
Encontrar dominio y rango de la siguiente función y graficar

-
Dada la función cuadrática

a) Indica su dominio y recorrido.
b) Obtén los puntos de corte con los ejes.
c) Calcula su vértice.
d) Representación gráfica -
En la siguiente función indica:
a) Dominio
b) Recorrido
c) Extremos relativos (máximos y mínimos)
d) Puntos de corte. Si no coincide con un valor entero, utiliza una cifra decimal para expresarlo.
e) Monotonía (intervalos de crecimiento y decrecimiento)
-
[1]Para la siguiente función dibuje su gráfica, calcule dominio y rango. Estudie un punto donde la función sea continua y otro donde sea discontinua:
![f(x) =
\left\{
\begin{array}{lrc}
- \frac{\sqrt{4-(x+3)^2}}{2} - 1 & si & x < 1
\\ -x^2+2x-1 & si & -1 \leq x < 1
\\ 2 - |x-2| & si & 1 < x \leq 4
\\ 8-2x & si & 4 < x < 6 \\
\left[ x+2 \right] -1 & si & x > 6
\end{array}
\right. f(x) =
\left\{
\begin{array}{lrc}
- \frac{\sqrt{4-(x+3)^2}}{2} - 1 & si & x < 1
\\ -x^2+2x-1 & si & -1 \leq x < 1
\\ 2 - |x-2| & si & 1 < x \leq 4
\\ 8-2x & si & 4 < x < 6 \\
\left[ x+2 \right] -1 & si & x > 6
\end{array}
\right.](local/cache-TeX/2879c87af215fa1fbd169a3c9ba1914b.png)
-
Indica cuál de las gráficas siguientes representan una función. En caso de ser función, indica su dominio, su imagen y los puntos de corte.
-
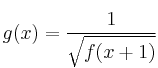
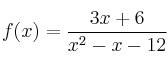
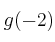
Sean las funciones
y 

Calcula
y 
-
Calcula analíticamente el recorrido de las siguientes funciones:
– a)
– b)