📝 Ejercicios de sist_inecuac_2_incognitas
-
a) Represente gráficamente la región determinada por las siguientes restricciones y determine sus vértices:
b) Calcule el máximo de la función
en el recinto anterior e indique dónde se alcanza. -
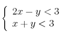
Resuelve gráficamente el siguiente sistema de inecuaciones:

-
Resuelve gráficamente el siguiente sistema de inecuaciones y calcula los vértices del recinto solución:

-
Resuelve gráficamente el siguiente sistema de inecuaciones y calcula los vértices del recinto solución:

-
Sea el recinto definido por las siguientes inecuaciones:

– a) Dibuje dicho recinto y determine sus vértices.
– b) Determine en qué punto de ese recinto alcanza la función
el máximo valor. -
El sistema de inecuaciones

verifica:
– a) El punto (-2, 3) es solución del sistema
– b) El sistema no tiene solución
– c) La solución es el intervalo (0,5) -
El sistema de inecuaciones

verifica:
– a. [x=3 ; y=-20] es una de las infinitas soluciones del sistema
– b. El punto (-2, 3) es solución del sistema
– c. El sistema no tiene solución
– d. La solución es un recinto limitado del plano -
Dadas las siguientes restricciones:




Representa la región limitada por dichas inecuaciones.
-
Dadas las siguientes restricciones:




Encuentra los vértices de la región que representan las inecuaciones anteriores.
-
Dadas las siguientes restricciones:




Encuentra en qué punto de la región limitada por las inecuaciones anteriores se hace máximo la función

-
Resuelve gráficamente el siguiente sistema de inecuaciones y calcula los vértices del recinto solución:

-
Resuelve gráficamente el siguiente sistema de inecuaciones y calcula los vértices del recinto solución:

-
Resuelve gráficamente el siguiente sistema de inecuaciones y calcula los vértices del recinto solución:

-
Resuelve gráficamente el siguiente sistema de inecuaciones y calcula los vértices del recinto solución:

-
Resuelve gráficamente el siguiente sistema de inecuaciones :

-
Halla la región solución del sistema de inecuaciones:

-
Resuelve gráficamente el siguiente sistema de inecuaciones y calcula los vértices del recinto solución:

-
Resuelve gráficamente el siguiente sistema de inecuaciones y calcula los vértices del recinto solución:

-
Resuelve gráficamente el siguiente sistema de inecuaciones y calcula los vértices del recinto solución:

-
Resuelve gráficamente el siguiente sistema de inecuaciones y calcula los vértices del recinto solución:

- 1
- 2