📝 Ejercicios de sist_inecuac_1_incognita
-
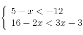
Resuelve el sistema de inecuaciones:

-
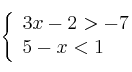
Resuelve el sistema de inecuaciones:

-
Resuelve el sistema de ecuaciones:

-
Resuelve el sistema de ecuaciones:

-
Indica el conjunto solución del siguiente sistema de inecuaciones:

– a)
– b)
– c)
– d)
– e)