📝 Ejercicios de potencias
-
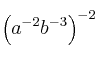
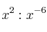
Expresa como un cociente de potencias:
– a)
– b)
-
Opera y simplifica

-
Escribe como una sola potencia y después calcula el resultado:
– a)
– b)
-
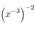
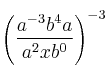
Simplifica la expresión:

-
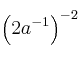
Expresa el resultado en forma de potencia:
– a)
– b)
-
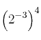
Expresa el resultado en forma de potencia:
– a)
– b)
-
Expresa el resultado en forma de potencia:
– a)
– b)
-
Expresa como un producto de potencias:
– a)
– b)
-
Calcula las siguientes potencias:
– a)
– b)
– c)
– d)
-
Calcula y simplifica:
–
–![b) \: \left[ \left( \frac{-5}{2} : \frac{3}{4} \right)^3 \right]^2 b) \: \left[ \left( \frac{-5}{2} : \frac{3}{4} \right)^3 \right]^2](local/cache-TeX/a633e4d658e5a2b628428969acdafbf0.png)
-
1.-
= ?
2.-
= ?
3.-
= ?
4.-
= ?
-
Escribe todos los cuadrados perfectos menores que 200
-
Opera y simplifica
–
–
–
–
–![\left[ 3^{-2} \cdot 3^{-4} \right]^{-1} \left[ 3^{-2} \cdot 3^{-4} \right]^{-1}](local/cache-TeX/dbeb555e9261dab0b746b764df5db939.png)
-
Opera y simplifica

-
Opera y simplifica

-
Opera y simplifica

-
Opera y simplifica
–
–
-
Calcula las siguientes potencias:
– a)
– b)
– c)
– d)
– e)
– f)
– g)
– h)
– i)
– j)
-
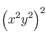
Simplifica la expresión:

-
Simplifica la expresión:
